OMRON IA Global
Sitemap Login Sign Up
R88D-1SN□-ECT-51
R88D-1SN□-ECT-51
SS1 및 SLS 기능 탑재로 생산 효율성을 높였습니다.
 마이 페이지에 스크랩하기
Service Info
    대체상품보기
대체상품이 존재하지 않습니다.
특징
종류
상세사양
|
외형도
|
자료 다운로드
|
 

형식 기준


 

AC 서보 모터 


 

종류

AC 서보 드라이버 EtherCAT 통신 내장 SS1/SLS 안전 기능 탑재 타입


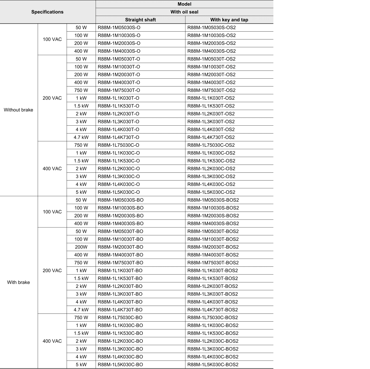
AC 서보 모터

3000r/min 모터



 

2000r/min 모터

1500r/min 모터


 

1000r/min 모터


 

감속기 백래시 3분 이내

감속기 백래시 15분 이내


 

케이블 및 주변기기

엔코더 케이블(표준 케이블)

브레이크 케이블(표준 케이블)


 

모터 동력 케이블(표준 케이블)

엔코더 케이블(굴곡 케이블)

브레이크 케이블(굴곡 케이블)

모터 동력 케이블(굴곡 케이블)


 

브레이크 케이블(반부하 측 출력 및 굴곡 케이블)


 

모터 전원 케이블(반부하 측 출력 및 굴곡 케이블)


 

EtherCAT 통신 케이블 권장품

EtherCAT에서는 카테고리 5 이상의 STP 케이블(알루미늄 테이프와 편조의 이중 차폐 실드 부착 트위스트 페어 케이블)를 사용합니다. 스트레이트 배선에 사용합니다.

커넥터 부착 케이블

케이블/커넥터

사이즈?선심수(대수):AWG24 x 4P


사이즈?선심수(대수):AWG22 x 2P

주변 커넥터

서보 드라이버측 커넥터
서보 드라이버측 커넥터는 드라이버형 R88D-1SN□-ECT-51에 각 1개씩 부속되어 있습니다. (엔코더 커넥터 제외)
또한 유지 보수 용으로도 개별적으로 구입할 수 있습니다.

서보 모터측 커넥터

외부 회생 저항 유닛용 커넥터

실드 클램프 브래킷

차폐 클램프는 전원 케이블을 고정하고 전원 케이블의 차폐 와이어와 서보 드라이버의 FG를 연결하는 데 사용됩니다.
차폐 클램프 브래킷과 차폐 클램프 플레이트로 구성됩니다.

외부 회생 저항기

외부 회생 저항 유닛


 

외부 동적 브레이크 저항기


 

DC 리액터


 

후면 장착형 노이즈 필터

적용 서보 드라이버가 5.5kW 이상의 리액터에 대해서는 'AC 서보 모터/드라이버 1S 시리즈 EtherCAT ? 통신 내장형 SS1/SLS 안전 기능 탑재 사용자 매뉴얼(매뉴얼 번호: SBCE-541)'을 참조해 주시기 바랍니다.


소프트웨어

자동화 소프트웨어 Sysmac Studio

NJ/NX 시리즈 CPU 유닛 및 NY 시리즈 산업용 PC를 비롯한 기계 자동화 컨트롤러, EtherCAT 슬레이브 및 HMI 등의 설정, 프로그래밍, 디버깅, 유지보수를 위한 통합 개발 환경을 제공하는 소프트웨어입니다.

자세한 내용은 제품 정보, 『Sysmac Studio 카탈로그』(카탈로그 번호: SBCA-122)를 참조하시기 바랍니다.
참고. 1S 시리즈 드라이버 SS1/SLS 안전 기능 탑재 타입 R88D-1SN□-ECT-51에는 Sysmac Studio Ver.1.59 이상이 필요합니다.
 

소프트웨어 기능 부품집

Sysmac Library

Sysmac Library는 NJ/NX 시리즈 컨트롤러에서 동작하는 소프트웨어 기능 부품 모음입니다.
아래 URL에서 다운로드하여 Sysmac Studio에 설치하여 사용하시기 바랍니다.
http://www.fa.omron.co.jp/sysmac_library

정보 업데이트 : 2024/08/01
 
Top of page
한국오므론제어기기주식회사
서울 서초구 강남대로 465, B동 18층 (서초동, 교보빌딩) 대표:김영호 / 사업장등록번호 : 211-87-79826
OMRON Korea | 개인정보 처리방침 | 이용약관 및 권장환경 | 마케팅 정보 활용방침 | 주문에 관한 동의 사항 |
한국 Autonics사에 대한 특허권 침해 소송 제기와 소송 판결(승소)의 통지
Copyright (C) 2008-2024 Omron Electronics Korea Co., Ltd. All Rights Reserved.